The standard error of the mean, also called the standard deviation of the mean, is a method used to estimate the standard deviation of a sampling distribution. To understand this, first we need to understand why a sampling distribution is required.
As an example, consider an experiment that measures the speed of sound in a material along the three directions (along x, y and z coordinates). By taking the mean of these values, we can get the average speed of sound in this medium.
However, there are so many external factors that can influence the speed of sound, like small temperature variations, the reaction time of the stopwatch, pressure changes in the laboratory, wind velocity changes, and other random errors. Thus instead of taking the mean with one measurement, we should instead take several measurements and take a mean each time. This is a sampling distribution. The standard error of the mean now refers to the change in mean with different experiments conducted each time.
Mathematically, the standard error of the mean formula is given by:

σM = standard error of the mean
σ = the standard deviation of the original distribution
N = the sample size
√N = root of the sample size
It can be seen from the formula that the standard error of the mean decreases as N increases. This is expected because if the mean at each step is calculated using many data points, then a small deviation in one value will cause less effect on the final mean.
The standard error of the mean tells us how the mean varies with different experiments measuring the same quantity. Thus if the effect of random changes are significant, then the standard error of the mean will be higher. If there is no change in the data points as experiments are repeated, then the standard error of mean is zero.
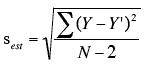
A related and similar concept to standard error of the mean is the standard error of the estimate. This refers to the deviation of any estimate from the intended values.
For a sample, the formula for the standard error of the estimate is given by:

where Y refers to individual data sets, Y' is the mean of the data and N is the sample size.
Note that this is similar to the standard deviation formula, but has an N - 2 in the denominator instead of N - 1 in case of sample standard deviation.
Siddharth Kalla, Lyndsay T Wilson (Sep 21, 2009). Standard Error of the Mean. Retrieved Nov 07, 2025 from Explorable.com: https://explorable.com/standard-error-of-the-mean
The text in this article is licensed under the Creative Commons-License Attribution 4.0 International (CC BY 4.0).
This means you're free to copy, share and adapt any parts (or all) of the text in the article, as long as you give appropriate credit and provide a link/reference to this page.
That is it. You don't need our permission to copy the article; just include a link/reference back to this page. You can use it freely (with some kind of link), and we're also okay with people reprinting in publications like books, blogs, newsletters, course-material, papers, wikipedia and presentations (with clear attribution).

